Integral Tak tentu
Rumus integral bentuk baku
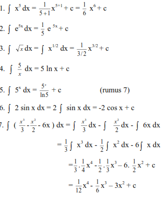
Tidak afdol dong berguru matematika tanpa melihat teladan soal dan pembahasan materi integralnya, yuk perhatikan teladan soal berikut :Rumus tambahan
dengan a = konstanta
Integral dengan cara subtitusi
yang dimaksud dengan integral cara subtitusi adalah meng-integrasikan fungsi yang berbentuk menyerupai integral baku, dengan mensubtitusikannya, menyerupai teladan berikut :ganti x dengan ( 3 + 6x ) semoga sama, dengan cara mendeferensialkan fungsi yang terletak pada dalam kurung.
Rumus integral subtitusi
Integral Trigonometri
Berikut tabel rumus integral trigonometri yang sanggup membantu kita dalam menuntaskan persoalan-persoalan integral trigonometri.sebetulnya masih ada sih teladan soal integral trigonometri yang sudah disertai pembahasannya tapi berhubung sudah malam dan hampir pagi maka postingan kali ini admin cukupkan, terus misalnya mana ? damai saja ebooknya sudah admin uploadkan untuk kalian mulai dari pembahasan awal tadi.
Silahkan download materi dan soal lengkap dengan pembahasan integral trigonometri dan integral tak tentu disini








0 Response to "Integral Trigonometri & Integral Tak Tentu"